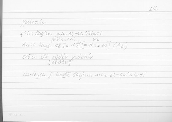
Glossary: χαλεπός صعوبة
Language | Greek | Arabic |
---|---|---|
Lexeme | χαλεπός | صعوبة |
Root / Stem | ṣ ʿ b – – / – | |
Part of Speech | adj. | noun |
Expression | τοῦτο δὲ οὐδὲν χαλεπόv | šayʾun min al-ṣuʿūbati |
Annotation | – | – |
Quotation | – | – |
Reference | Arist. Phys. I 2, 185a12 | – |
Lexica |