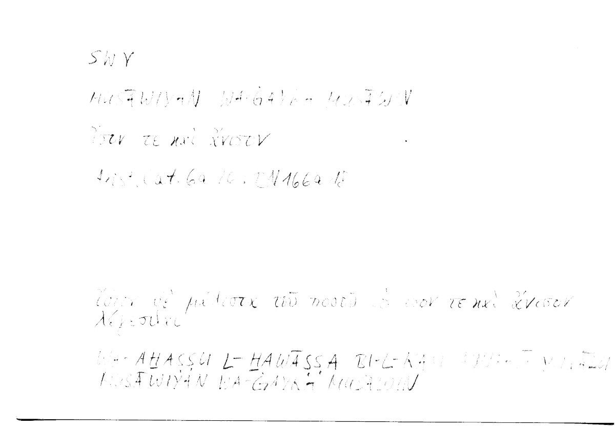
Glossary: ἴσος مساوي
| Language | Greek | Arabic |
|---|---|---|
| Lexeme | ἴσος | مساوي |
| Root / Stem | s w y – – / III | |
| Part of Speech | adj. | act. part. |
| Expression | – | – |
| Annotation | – | – |
| Quotation | ἴδιον δὲ μάλιστα τοῦ ποσοῦ τὸ ἴσον τε καὶ ἄνισον λέγεσθαι | wa-aḫaṣṣu l-ḫawāṣṣa bi-l-kam annahū yuqālu musāwiyan wa-ġayra musāwin |
| Reference | Arist. Cat. 6a26 | BN 166a18-19 |
| Lexica |


