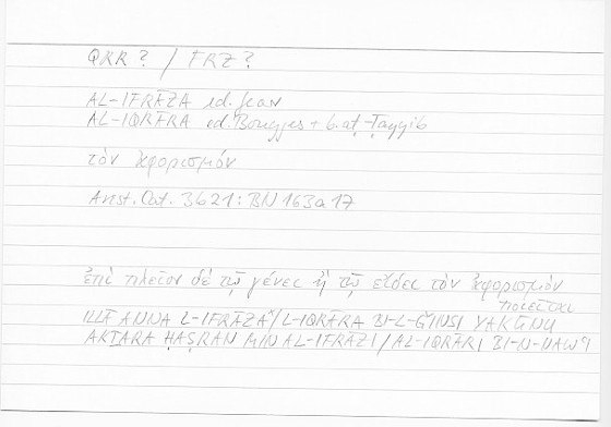
Glossary: ἀφορισμός اقرار
| Language | Greek | Arabic |
|---|---|---|
| Lexeme | ἀφορισμός | اقرار |
| Root / Stem | q r r – – / IV | |
| Part of Speech | noun | maṣdar |
| Expression | τὸν ἀφορισμὸν ποιεῖται | al-ifrāzun ed. Georr : al-iqrārun ed. Bouyges, b. aṭ-Ṭayyib |
| Annotation | – | – |
| Quotation | – | – |
| Reference | Arist. Cat. 3b21 | BN 163a17 |
| Lexica |


