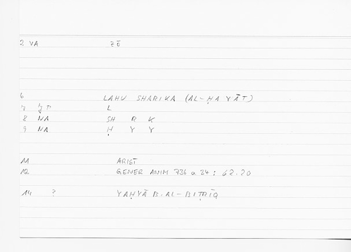
Glossary: ζῷον شركة

LanguageGreek Arabic
Lexemeζῷονشركة
Root / Stemš r k /
Part of Speechnounnoun
Expressionlahu šarikatu (l-ḥayāti)
Annotation
Quotation
Reference
Lexica Search for translation in Perseus Search for translation in Perseus

previous next