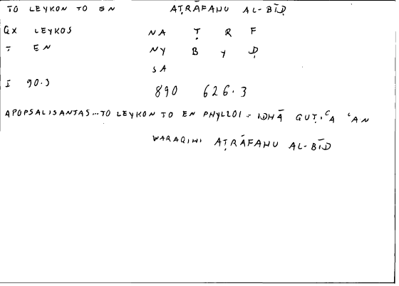
Glossary: λευκόν أبيض
| Language | Greek | Arabic |
|---|---|---|
| Lexeme | λευκόν | أبيض |
| Root / Stem | b y ḍ – – / – | |
| Part of Speech | noun | elative |
| Expression | – | aṭrāfuhū l-bīḍu |
| Annotation | – | – |
| Quotation | – | – |
| Reference | Diosc. Mat. med. I, 90.3 | Dubler/Terés II, 93.17 |
| Lexica |
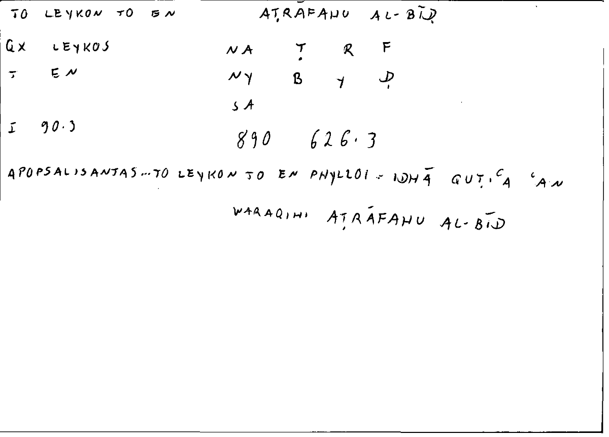
| Language | Greek | Arabic |
|---|---|---|
| Lexeme | λευκόν | أبيض |
| Root / Stem | b y ḍ – – / – | |
| Part of Speech | noun | elative |
| Expression | – | aṭrāfuhū l-bīḍu |
| Annotation | – | – |
| Quotation | – | – |
| Reference | Diosc. Mat. med. I, 90.3 | Dubler/Terés II, 93.17 |
| Lexica |