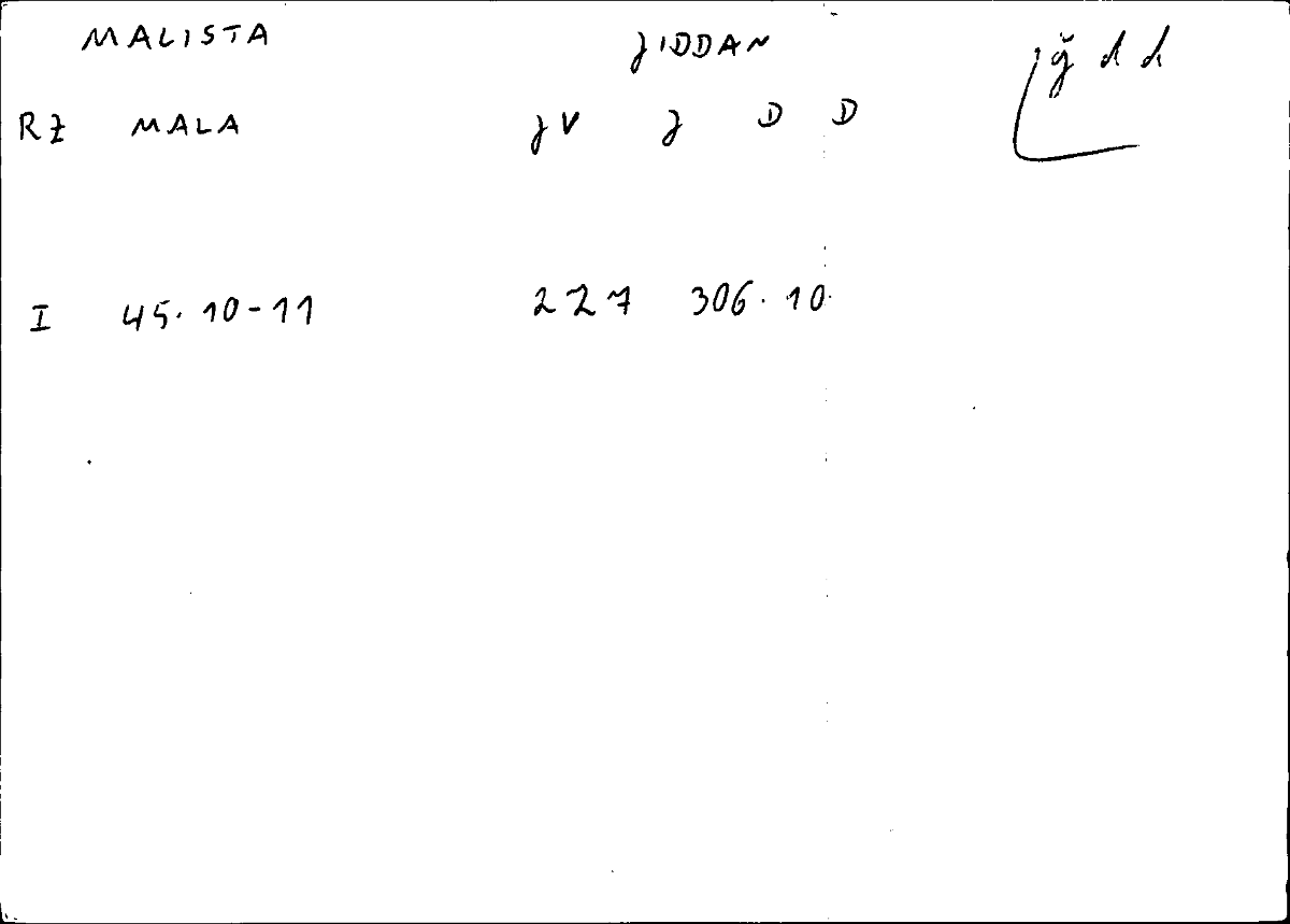
Glossary: μάλιστα جدّ
| Language | Greek | Arabic |
|---|---|---|
| Lexeme | μάλιστα | جدّ |
| Root / Stem | ǧ d d – – / – | |
| Part of Speech | adv. | adv. |
| Expression | – | ǧiddan |
| Annotation | – | – |
| Quotation | – | – |
| Reference | Diosc. Mat. med. I, 45.10-11 | Ibn al-Bayṭār Ǧāmiʿ II, 104.29 |
| Lexica |
| Language | Greek | Arabic |
|---|---|---|
| Lexeme | μάλιστα | جدّ |
| Root / Stem | ǧ d d – – / – | |
| Part of Speech | adv. | adv. |
| Expression | – | ǧiddan |
| Annotation | – | – |
| Quotation | – | – |
| Reference | Diosc. Mat. med. I, 45.10-11 | Ibn al-Bayṭār Ǧāmiʿ II, 104.29 |
| Lexica |